Amplificadores de Som para Home Studio – Como Comprar


Amplificadores de Som para Home Studio – Como Comprar

“Amplificadores de Som”... Na verdade, o termo técnico seria “Amplificadores de Áudio”, mas como muitos preferem chamá-lo de “amplificador de som”, vamos falar sobre como comprar esse equipamento que é muito importante dentro do Home Studio. Vamos lá?

Um amplificador de som (áudio) é como um transformador. Ele pega a energia elétrica super fraca que sai da sua placa de som e aumenta isso para uma corrente elétrica muito mais forte, capaz de mover os cones dos alto-falantes em suas caixas acústicas. O amplificador de som precisa ser forte o suficiente para conseguir mover essas coisas, mas não tão forte a ponto de explodir (literalmente) os seus monitores de áudio.

Potência e Impedância de um Amplificador de Áudio

VINCENT SV 237MK

Antes de comprar um amplificador de som para o seu Home Studio, você precisa saber qual a potência em Watts e a Impedância dos seus monitores de áudio. Ninguém vai querer um amplificador fraco, que não explora todo o potencial dos monitores de áudio e tão pouco, muito forte, que possa danificar todo o sistema.

Impedância pode ser simplificada como a carga resistiva de um circuito e é medida em "ohms". Nos auto-falantes, isso gera calor e campo magnético, sendo o último responsável pela interação com o ímã do alto-falante, fazendo vibrar o cone acústico.

A potência em Watts também pode ser simplificada: representa a capacidade do equipamento de converter corrente elétrica em som.

Agora que sabemos um pouco sobre Impedância e Potência em Watts, então podemos traçar um perfil de amplificador de som para nosso Home Studio.

Por exemplo: Se você tem um conjunto de caixas acústicas com 8 ohms e 250 Watts RMS cada, então seu amplificador de áudio precisa ter uma saída de 8 ohms e no máximo 550 Watts RMS.

Rodrigo, e se o auto-falante for de 4 ohms, posso ligá-lo no amplificador de 8 ohms?

A fim de responder essa pergunta, precisamos dar uma relembrada nas leis de Ohm e entender como isso funciona.

O físico inglês Georg Simon Ohm , após realizar experimentos exaustivos com diversos tipos de condutores elétricos, formulou os princípios fundamentais que medem as interações entre as 3 grandezas elétricas. A partir de suas observações, Georg Ohm extraiu duas leis importantes chamadas leis de Ohm e que nos ajudam a medir o comportamento dos elétrons em um circuito elétrico e são a base para a eletrônica analógica.

A primeira Lei de Ohm define que a corrente elétrica é diretamente proporcional à diferença de potência aplicada.

Podemos entender a primeira lei de Ohm pela seguinte fórmula:

primeira lei de ohm formula

Onde:

R: resistência (Ohm)

U: diferença de potencial elétrico (Volts)

I: intensidade da corrente elétrica (Ampére)

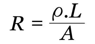
A segunda Lei de Ohm, define que a resistência elétrica do condutor tem relação direta com constituição do material e é proporcional ao seu comprimento.

A segunda lei de Ohm é expressa pela seguinte equação:

segunda lei de ohm formula

Onde:

R: resistência

p: resistividade do condutor

L: comprimento do condutor

A: área de secção transversal

Dessa forma, quanto maior o número em ohms, maior será a resistência / impedância elétrica desse circuito. Isso significa que um auto-falante de 4 ohms utiliza um fio mais grosso, com menos voltas (mais curto) em sua bobina, o que nos leva a uma menor resistência à passagem dos elétrons. Desse modo, o amplificador 4 ohms pode possuir a mesma voltagem de saída, mas sua amperagem será o dobro para suportar os “pesados” auto-falantes de 4 ohms.

Tannoy System 600 Dual Concentric Passive

Por que pesados? Porque o circuito perfeito possui resistência 0 ohms e é chamado de curto-circuito. A temperatura sobe a ponto de derreter os componentes do circuito, o levando a falha.

Dessa forma, um circuito mais longo possui uma resistência maior e uma taxa de conversão de energia elétrica em térmica e mecânica muito maior. A resistência é sempre suficiente para que o circuito permaneça estável, com temperatura dentro do esperado e com o máximo de aproveitamento da potência.

Caso o amplificador seja de 8 ohms e você o ligue em um conjunto de caixas de 4 ohms, perceba que o amplificador não terá potência suficiente para excitar os alto-falantes e extrair deles a sua máxima potência, ao passo em que as saídas de áudio desse amplificador ficarão sobrecarregadas por causa da impedância menor das caixas de 4 ohms.

A resposta é não, você não pode usar caixas de 4 ohms em amplificadores de 8 ohms. Porém o oposto é permitido, usando amplificador de 4 ohms em caixas de 8 ohms. Nesse caso, o amplificador terá tanta potência que será capaz de exceder os limites dos seus auto-falantes. Como regra, é melhor que os alto-falantes possuam um número de ohms igual ou maior do que o amplificador para que esse trabalhe com folga. Fazendo uma analogia, esses ohms a mais significam um alto-falante mais “leve” para o seu amplificador.

Nota: A "impedância" é aplicada em corrente contínua e alternada, enquanto que a "resistência" se aplica apenas à corrente contínua. Na prática, a impedância mede a oposição de um circuito à circulação dos elétrons, o que podemos chamar de resistência. Esse efeito ôhmico ocorre em uma determinada faixa de temperatura e não se aplica aos semicondutores.

Qualidade do Amplificador de Som

Outro aspecto a ser levado em consideração na hora de escolher um bom amplificador de áudio para o Home Studio é quanto a qualidade do equipamento. Nessa indústria de equipamentos de áudio existem amplificadores banhados a Ouro, mas é óbvio que você não precisa ir tão longe para ter um bom rendimento em seu áudio, principalmente durante as mixagens.

O ideal é buscar um amplificador capaz de atender os requisitos dos seus monitores de áudio, além de procurar por uma marca conceituada no mercado. Não vamos citar marcas aqui, mas existem boas marcas nacionais, com preços na média, capazes de atender um Home Studio com sobra de qualidade.

monitor de audio m audio bx5

Ainda existem os monitores de áudio ATIVOS, que possuem um amplificador de áudio integrado. Nesse caso, você não precisa se preocupar com amplificador de som, pelo menos não para os monitores de áudio.

Voltando aos amplificadores para monitores de áudio PASSIVOS...

Como eu disse, a compatibilidade técnica do amplificador com o monitor de áudio é algo muito importante a ser verificado. Em todo caso, siga as regrinhas da física de Ohm e você será feliz.

Bons Amplificadores de Som Não Fazem Barulho

Studio Power Amp Class AB 200wCH CLA200 Avantone Pro

Evite amplificadores ruidosos, você precisa abrir o volume a 70% e não ouvir mais do que um leve ruído de fundo, o famoso "ruído branco”. Um amplificador ruidoso pode atrapalhar você durante as masterizações.

Não se preocupe, apenas amplificadores mal construídos apresentam níveis de ruído de fundo e interferências fora do esperado. Os microcontroladores dos amplificadores atuais conseguem gerenciar bem a potência, economizar energia, gerar menos calor e aumentar a vida útil do equipamento.

Para efeitos didáticos, em 1999, eu encontrei uma marca Brasileira de amplificadores baratos que chiava como uma naja nervosa. Procurando melhor, encontrei outro amplificador Brasileiro que era perfeito, silencioso como o espaço, e funciona até hoje.

E os cubos amplificadores para guitarra? Mesmo amplificadores de guitarra (cubos) podem ser submetidos a esse critério de qualidade, medindo o ruído de fundo residual.

Não Compre Equipamentos de Áudio Usados

amplificador audio estereo

Os potenciómetros, capacitores e resistores são componentes eletrônicos que tem uma certa vida útil. Não importa se você deixou seus equipamentos bem armazenados, alguns desses componentes vão acabar perdendo suas especificações, ocasionando terríveis interferências e ruídos indesejados em seu amplificador de áudio usado.

Comprar equipamentos de áudio usados, mesmo que por um preço baixo, quase nunca é uma boa ideia. Salvo se você tiver conhecimentos intermediários de eletrônica, sendo capaz de substituir capacitores, resistores e até chips que possam estar danificados. Se você for partir para comprar um equipamento eletrônico usado, pelo meu ponto de vista, recomendo que esteja preparado(a) para lidar com pequenos problemas técnicos.

A eletrônica moderna é um show, graças aos C.I.s que fazem milagres em um amplificador. Desse modo, se você quiser desfrutar do que há de melhor no mundo atualmente, parta para comprar um amplificador de áudio novo, lançado recentemente. Assim, você vai ter bons momentos com o seu novo amplificador, sem esquentar a cabeça com problemas que nem deveriam estar ocorrendo.

Desejo sucesso com seu amplificador de áudio!

Rodrigo Marques

Rodrigo Marques

Rodrigo Marques, fundador do Home Studio Fans, é um veterano da produção musical com mais de 25 anos de experiência. Desde 1997, domina ferramentas como Sound Forge, Samplitude Pro e plugins VST, produzindo álbuns para artistas emergentes globalmente. Criador da inovadora Fórmula HSF para mixagem e masterização, Rodrigo já capacitou milhares de pessoas através de cursos online e seu ebook, Home Studio Fans. Dedicado a democratizar a produção musical, ele equipa artistas aspirantes com habilidades para música de nível profissional e carreiras sustentáveis.

Sobre o autor